Изследователски екип е идентифицирал нов принцип в биологията, който математически обяснява защо растежът на организмите се забавя с нарастването на количествата хранителни вещества – феномен, наречен закон за намаляващата възвръщаемост.
Изследването е публикувано в списанието Proceedings of the National Academy of Sciences.
Въпросът как живите организми растат в различни хранителни среди отдавна е централен в биологията. При микробите, растенията и животните растежът се определя от наличието на хранителни вещества, енергия и клетъчни механизми.
Въпреки че обширните изследвания са изследвали тези ограничения, повечето изследвания се фокусират само върху отделни хранителни вещества или специфични биохимични реакции, оставяйки без отговор по-широк въпрос: как сложните, взаимосвързани клетъчни процеси колективно регулират растежа при ограничени условия?
Въвеждане на принципа на глобалното ограничение
За да се справи с това, изследователски екип, състоящ се от доцент Тецухиро Хатакейма (Tetsuhiro S. Hatakeyama) от "Института за науки за Земята и Живота" (ELSI - Earth-Life Science Institute) Токио, Япония, и постдокторанта от RIKEN Джумпей Ямагиши (Jumpei F. Yamagishi), е открил обединяващ принцип, който обяснява как всички живи клетки регулират растежа си, когато ресурсите са ограничени.
Тяхното проучване въвежда принципа на глобалното ограничение за микробния растеж, концепция, която би могла да промени начина, по който учените подхождат към изучаването на биологичните системи.
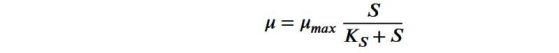
В продължение на близо осем десетилетия изследователите разчитат на уравнението на Моно (Monod equation) в микробиологията, формулирано през 40-те години на миналия век, за да опишат микробния растеж.
Според уравнението на Моно, скоростта на растеж се увеличава с увеличаване на хранителните вещества, преди да достигне стабилен растеж. Моделът обаче приема, че само едно хранително вещество или биохимична реакция ограничава микробния растеж. Всъщност клетките извършват хиляди взаимодействащи химични процеси, всички от които се конкурират за едни и същи ограничени ресурси.
Според екипа уравнението на Моно обхваща само част от картината. Вместо едно-единствено пречка, клетъчният растеж се оформя от мрежа от ограничения, действащи заедно, което води до познатото изравняване на темповете на растеж, макар и причинено от съвсем различна причина.
Принципът на глобалното ограничение обяснява, че когато едно хранително вещество стане по-изобилно, други фактори, като например наличието на ензими, обема на клетките или капацитета на мембраните, започват да ограничават растежа.
Използвайки метод, наречен "моделиране, базирано на ограничения", който моделира как клетките управляват ресурсите си, екипът показва, че добавянето на повече хранителни вещества винаги помага на микробите да растат, но всяко допълнително хранително вещество има по-слаб ефект върху растежа от предишното.
"Формата на кривите на растеж произтича директно от физиката на разпределението на ресурсите вътре в клетките, а не зависи от някаква конкретна биохимична реакция", посочва Хатакейама.
Свързване на класически закони и нови модели
Този нов принцип обединява два класически биологични закона: уравнението на Моно, което описва микробния растеж, и закона за минимума на Либиг, който гласи, че растежът на растението е ограничен от това кое хранително вещество е в най-малък запас, като например азот или фосфор. С други думи, дори ако едно растение има изобилие от повечето хранителни вещества, то може да расте само толкова, колкото му позволява най-оскъдното хранително вещество.
Чрез комбиниране на тези концепции, изследователите създават модел на "терасовидна бъчва". В този модел различни ограничаващи фактори влизат в сила последователно с увеличаването на хранителните вещества. Това обяснява защо както микробите, така и висшите организми показват намаляваща възвръщаемост и растежът се забавя, дори когато се добавят повече хранителни вещества, защото нов ограничаващ фактор става доминиращ.
Хатакейама сравнява теорията си с актуализирана версия на бъчвата на Либиг, където растението може да расте само толкова, колкото му позволява най-късият ствол (т.е. най-ограниченото му хранително вещество).
"В нашия модел, височината на дъските на бъчвовата е на стъпки", обяснява изследователят, "като всяка стъпка представлява нов ограничаващ фактор, който става активен с по-бързия растеж на клетката."
Тестване на теорията с компютърни модели
За да проверят теорията си, екипът използва мащабни компютърни модели на Escherichia coli, които включват как клетките използват протеини, как са пространствено опаковани и капацитета на техните мембрани. Симулациите демонстрират прогнозираното забавяне на растежа с добавянето на повече хранителни вещества и разкриват как нивата на кислород или азот влияят върху моделите на растеж. Резултатите съвпадат добре с лабораторните експерименти, потвърждавайки точността на модела.
Откритието предоставя нова перспектива за разглеждане на растежа във всички форми на живот. Комбинирайки различни принципи, принципът на глобалното ограничение обяснява сложни биологични поведения, без да е необходимо да се моделира всяка отделна молекула в детайли.
"Нашата работа полага основите на универсалните закони на растежа", отбелязва Ямагиши. "Като разбираме ограниченията, които важат за всички живи системи, можем по-добре да предвидим как клетките, екосистемите и дори цели биосфери реагират на променящата се среда."
Последици за биологията и не само
Значението на изследването надхвърля базовата биология. То може да помогне за подобряване на микробното производство в промишлеността, да увеличи добивите на култури чрез точно определяне на ограничаващите хранителни вещества и да насочи прогнозите за реакциите на екосистемите при променящ се климат.
Бъдещи изследвания биха могли да помогнат за изследване на това как принципът се прилага към различни организми и как множество хранителни вещества заедно се използват. Чрез свързване на микробната биология с екологичната теория, това изследване прави важна стъпка към универсална основа за разбиране на границите на растежа на живота.
Справка: Jumpei F. Yamagishi et al, Global constraint principle for microbial growth laws, Proceedings of the National Academy of Sciences (2025). DOI: 10.1073/pnas.2515031122
Източник: The limits of life's growth: Novel principle hints at universal laws, Institute of Science Tokyo




















Коментари
Моля, регистрирайте се от TУК!
Ако вече имате регистрация, натиснете ТУК!
Няма коментари към тази новина !
Последни коментари
YKoshev
Престижна награда от БАН спечели главният редактор на НаукаOFFNews
Johnny B Goode
Престижна награда от БАН спечели главният редактор на НаукаOFFNews
Gunteer
Престижна награда от БАН спечели главният редактор на НаукаOFFNews
Християнин
Това е кралят на тиквите: Тиквата му тежи над един един тон